Електронний посібник

ОРГАНІЗАЦІЯ РОБІТ В САДОВО-ПАРКОВОМУ ГОСПОДАРСТВІ

РОЗДІЛ ІІІ

26. Інвентаризація об’єктів садово-паркового будівництва

26.1. Загальні положення. Етапи проведення.
26.2. Групова інвентаризація.
26.3. Індивідуальна інвентаризація.
26.4. Оцінка якісного стану дерев, кущів, газонів, квітників.

26.1. Загальні положення. Етапи проведення.

Інвентаризація – це періодична перевірка наявності на балансі підприємства садово-паркового господарства всіх конструктивних елементів об’єкта, їх якісного стану та збереження.
Інвентаризації підлягають всі об’єкти загального користування: парки, сади, бульвари, сквери, вулиці та проїзди. Крім того, інвентаризація проводиться також на територіях фабрик, заводів, підприємств, установ та інших організацій, де є в наявності зелені насадження. Дані інвентаризації використовують для виявлення локальних або масових захворювань зелених насаджень з метою своєчасної профілактики захворювань або застосування ефективних заходів боротьби з уже існуючими хворобами чи шкідниками деревних рослин. Крім того, на основі даних інвентаризації складають відомість обсягів робіт для капітального і поточного ремонтів окремих елементів – дерев, чагарників, газонів, квітників, дорожньо-стежкової мережі, паркових споруд, малих архітектурних форм та стаціонарного обладнання, а також для підтримання визначеної об’ємно-просторової структури насаджень і їх типів.
За допомогою інвентаризації встановлюють такі показники об’єкта:
– загальну площу під зеленими насадженнями, зокрема під деревами, чагарниками, газонами, квітниками, а також доріжками, майданчиками, спортивними площинними спорудами, стаціонарним обладнанням, ставками, басейнами тощо;
– типи садово-паркових насаджень, їх породний і видовий склад, кількість, вік, діаметр на висоті 1,3 м (для дерев) та стан;
– стан і придатність стаціонарних інженерно-архітектурних споруд та садово-паркового обладнання (пам’ятники, скульптура, фонтани, каскади, альтанки, трельяжі тощо), а також будівель і споруд господарського призначення (адміністративні будівлі, оранжереї, господарський двір тощо);
– зміни в типі об’ємно-просторової структури та щільності насаджень.
На кожний об’єкт інвентаризації складають такі документи:
1. Інвентаризаційний план, який залежно від площі об’єкта (крім насаджень вздовж вулиць, план яких виконується лише в М 1:500) виконується в таких масштабах:
до 5 га 1:500;
від 5 до 25 га 1:1000 або 1:2000;
понад 25 га 1:2000 або 1:5000.
2. Робочий щоденник обліку зелених насаджень
3. Технічний паспорт об’єкта.
Інвентаризацію проводять 1 раз на 5 років з квітня по жовтень згідно з інструкцією по інвентаризації зелених насаджень в містах та селищах.
Вихідними даними для проведення інвентаризаційних робіт є існуючий генеральний план об’єкта або робочі креслення (посадкове, розбивочне) на основі геодезичного плану.
Інвентаризація зелених насаджень та конструктивних елементів об’єкта проводиться в два етапи: польовий (збір даних) та камеральний обробіток отриманого матеріалу.
На першому етапі вивчають існуючу документацію, уточнюють межі об’єкта, ландшафтно-планувальні дані, існуючі типи просторової структури, вивчають наявність комунікацій та споруд, а також проводять зйомку і дознімання насаджень, які наносять на план з відповідними записами в робочому журналі (щоденнику).

На другому етапі узагальнюють отримані дані, аналізують і упорядковують записи в журналах та відомостях, розробляють баланс території, оформлюють план інвентаризації (стара ситуація на плані закреслюється червоною тушшю, а всі зміни наносяться чорною) та складають відповідний акт про закінчення робіт для їх приймання-здачі. Цей етап проводять паралельно з польовими роботами, оскільки знайдені помилки і прорахунки легше виправити відразу ж.
На основі отриманих даних вносять корективи в паспорт об’єкта. Застарілі записи закреслюють червоною тушшю в одну лінію, а нові вносять в нижні горизонтальні рядки.
Залежно від розміру об’єкта та наявності зелених насаджень інвентаризація може проводитись одним із двох способів. В парках (площею до 20 га), скверах, бульварах проводять індивідуальну (подеревну) інвентаризацію, а на об’єктах площею більше 20 га і на створених на базі природних насаджень – групову інвентаризацію.
Під час інвентаризації незалежно від способу її виконання для зручності проведення обліку об’єкт умовно розділяють на ділянки, що обмежовуються візирами, які в натурі можуть співпадати з доріжками, алеями чи іншими постійними елементами внутрішньої ситуації. Цим умовним ділянкам присвоюють порядкові номери, які обводять кружечками.

26.2. Групова інвентаризація.

Інвентаризацію розпочинають зі зйомок зовнішніх меж території об’єкта, під час яких проводять опис прилеглих до них насаджень. Для роботи беруть зошит в клітинку і на правій його сторінці, притримуючись певного масштабу, ведуть абрис. Суть ведення даного абрису полягає в тому, що під час вимірювання довжин зовнішніх меж, на ньому графічно відображають дороги, канави, просіки, ЛЕП, водогін тощо, які примикають до них або перетинають, а також вказують відстані точок їх дотику чи перетину. В подальшому на плані намічають лінії-візири. Візири можуть бути паралельними, мати вигляд віяла або ж співпадати з дорогами, просіками, канавами та ін., але обов’язково проходити по всіх ділянках, які потребують огляду та опису. У всіх випадках кінці візирів повинні бути прив’язані до ліній зовнішніх меж об’єкта, а їх фактична довжина повинна співпадати з довжиною на плані. Опис ділянок, які перетинають візири, проводять аналогічно як і з граничних ліній.
Під час інвентаризації в межах кожної ділянки групові посадки дерев, кущів та квітів нумерують. Нумерація відбувається таким чином: до номера ділянки додається велика літера алфавіту, наприклад 1-А, 1-Б і т.д. Поодинокі цінні рослини інвентаризують та наносять на план індивідуально з великою точністю.
На лівій сторінці цього ж зошита проводять опис інвентаризаційних ділянок. Ділянки, що покриті деревами, описують за прийнятими у лісівництві формулами. Під час опису вказують породний склад (формулу складу), повноту, середній вік, середній діаметр на висоті 1,3 м, середню висоту, а також підріст, підлісок, ЖНП, тип ґрунту.
Формулу складу для середньовікових насаджень визначають за запасом деревини кожної породи окремо на пробній площі, а для молодняків – за кількістю дерев на ній. Числа у формулі відображають відсоток кожної деревної породи від загального запасу насадження і в сумі повинні становити цифру 10. Назву порід позначають першими буквами слів: сосна – С, береза – Б, ялина – Ял, осика – Ос, вільха чорна – Віл. ч.
Вік насадження визначають за кількістю річних шарів на пеньках зрубаних дерев або за кількістю мутовок на ростучих деревах хвойних порід.
Повноту або густоту насадження вказують в десятих долях одиниці, вважаючи, що зімкнутий деревостан має повноту рівну 1.
Діаметр середнього за товщиною дерева вимірюють на висоті 1,3 м і вказують в сантиметрах, а його висоту – в метрах. Ці величини визначають за допомогою таксаційних приладів (мірної вилки, висотомірів) або ж на око.
Підростом називаються молоді дерева лісоутворювальних порід, висота яких не перевищує 1/4 висоти материнського деревостану і в майбутньому здатні його замінити.
Підлісок складається із чагарників та дерев, які в цих ґрунтово-кліматичних умовах не можуть утворити деревостан.
Ґрунтовий покрив може бути мертвим, моховим, трав’яним або змішаним, а також мати різну щільність. Описуючи ґрунтовий покрив, необхідно вказувати видовий склад рослин. Різні трави характеризують різну ступінь вологості та родючості ґрунту. Покрив із блискучих мохів, а особливо із лишайників, вказує на сухість піщаного ґрунту; моховий покрив із зозулиного льону та сфагнуму – на інтенсивний процес заболочування.
Тип ґрунту визначають за наявними розрізами в ямах і канавах або за допомогою ґрунтового шурфу.
Відповідно до скорочених позначень абрису на другій сторінці зошита виконують опис зазначених ділянок. Наприклад:
Галявина; ґрунтовий покрив – тонконіг луговий, костриці лугова і червона з домішками білої та червоної конюшини; ґрунт суглинистий, опідзолений.
1-А) 5Б3Ял2С: 20 р., повнота – 0,7, d – 12 см, h – 13 м; підріст густий із ялини; ґрунтовий покрив рідкий трав’янистий (яглиця, тонконіг боровий); ґрунт супіщаний, товщина гумусового шару – 12–15 см.
1-Б) 7Ял2С1Б: 60-80 р., повнота – 0,5 (нерівномірна на площі), d – 24 см, h – 20 м; підріст – ялина 20–30 років середньої густоти; ґрунтовий покрив рідкий трав’янистий, зрідка зустрічається зозулин льон та брусниця; ґрунт суглинистий, опідзолений.
1-Г) 10 С: 20р., повнота – 0,8, d – 8 см, h – 10 м; ґрунтовий покрив мертвий з вкрапленнями блискучих мохів; ґрунт супіщаний з шаром гумусу 5 см.

26.3. Індивідуальна інвентаризація.

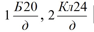
Індивідуальну інвентаризацію проводять за рідкого та нерівномірного зростання дерев. У випадку виявлення груп цінних чагарників та багаторічних квіткових рослин одночасно проводять і групову інвентаризацію. Дерева та кущі на план наносять умовними позначками (маленькими кружечками, трикутниками або крапками) тушшю, а біля них справа у вигляді дробу записують формулу, яка містить елементи характеристики цього дерева. В чисельнику вказують породу першою літерою її назви, а біля неї – діаметр стовбура в сантиметрах на висоті 1,3 м. В знаменнику вказують якісний стан дерева, вказуючи першу літеру оцінки (добрий стан – д, задовільний стан –з, незадовільний стан – не зад.). Наприклад, така характеристика дерева: дуб в доброму стані з діаметром стовбура 40 см буде записана у вигляді формули.   Д40 д

Черговість робіт за подеревної інвентаризації аналогічна груповій. Відмінність полягає лише в тому, що за індивідуальної інвентаризації кожне дерево прив’язується до базисної лінії (візиру) окремо. Візир прокладають з таким розрахунком, щоб відстані між ним і деревами, які до нього прив’язуються, не перевищували довжину мірної стальної стрічки або рулетки, тобто 20 м. Базисну лінію розбивають на однакові за довжиною відрізки (5–10 м) з обов’язковим встановленням у точках ділення кілочків, які будуть слугувати початком відліку – точкою «0». Дерево прив’язують до базисної лінії заміром трьох відстаней: від двох кінців відрізка до рослини і третім відліком буде довжина перпендикуляра, прокладеного від лінії візира до цього ж дерева. Коли за переміщення візиром наступне дерево або група дерев опиниться найближче до нього, мірну стрічку, укладену чітко по лінії, залишають лежати на землі, а від неї за допомогою трьох замірів іншою стрічкою вимірюють відстані до цієї рослини. Отримані заміри збільшують на величину, яка рівна половині діаметру стовбура дерева біля землі, оскільки відстань вказується від центру стовбура до базисної лінії.

На абрисі журналу записують виміряні відстані, назви порід, розміри і якість дерев короткими формулами:

і т.д., де цифри перед дробами вказують номер інвентаризаційного дерева. 

На лівій сторінці журналу заміри дублюють записами:
де числа 0,0 м – 7,70м; 6,0 м – 4,80 м; 10,0 м – 6,20 м означають відстані від базисної лінії до дерева.

Групи чагарників і багаторічників до візирної лінії прив’язують за контури їх границь, нумерують та описують в прилеглій до плану відомості, вказуючи видову кількість рослин. Газони і квітники обліковують за площею, а багаторічники, крім того, за кількістю кущів на обліковій ділянці.
За проведення індивідуальної інвентаризації дерева діаметром не менше 12 см маркують в натурі шляхом замальовування частини стовбура у вигляді смужки розміром 2×2 см, де записують такі дані: вид рослини (однією буквою, наприклад, дуб – Д), дату спостереження і присвоюють інвентаризаційний номер.

26.4. Оцінка якісного стану дерев, кущів, газонів, квітників.

Таблиця  1

Дози вапна (вуглекислого вапна т/га) для вапнування кислих ґрунтів з вмістом органічних речовин не більше 2 – 3 % (Кедров – Зихман)

Класи якості стану лісопаркових насаджень:
1-й клас – змішані багатоярусні насадження із зімкнутістю крон дерев 1-го ярусу в масивах та групах не нижче 0,7 (не враховуючи галявин) або чисті, невеликі (3–5 га) березняки, дубняки із зімкнутістю крон 0,4 і вище. Насадження здорові, життєздатні. Непошкоджена лісова підстилка охоплює не менш 80% площі. Окремі дерева та групи дерев розміщені нерівномірно. Галявини мають різні розміри, мальовничу конфігурацію з рівномірним трав’яним покровом, зручні для відпочинку. Меліоративних робіт не потребують. Дороги впорядковані;
2-й клас – насадження чисті, одноярусні, площею понад 3–5 га або змішані із зімкнутістю крон 0,5–0,6, рівномірно розміщені на території. Мають ознаки вповільненого росту і розвитку та до 20% сухих гілок у кроні. Непошкоджена лісова підстилка становить 50–80% площі, територія забур’янена. Галявин мало, вони однотипні за формою і розмірами, недостатньо мальовничі. Насадження потребують оздоровлення та незначної меліорації. Доріг недостатньо;
3-й клас – насадження чисті та змішані, перебувають на стадії розпаду, зімкнутість крон дерев 1-го ярусу 0,2–0,4 або складаються з малоцінних порід (осика, тополя) з більшою зімкнутістю. Дерева і групи дерев розміщені на території рівномірно. Кількість сухих гілок у кроні перевищує 20%. Непошкоджена лісова підстилка становить менше ніж 50% загальної площі насадження. Велика забур’яненість. Галявин немає або вони непристосовані для відпочинку. Насадження потребують оздоровлення своєї екосистеми та проведення значних за обсягом меліоративних робіт. Упорядковані дороги відсутні.

Питання для самоконтролю

1. Яка максимальна довжина базисної лінії під час проведення індивідуальної інвентаризації і з чим це пов’язано?
2. Чим відрізняється групова інвентаризація від індивідуальної?
3. Які документи складаються на об’єкт інвентаризації?
4. Що впливає на масштаб виконання інвентаризаційного плану?